Chemical-Suppliers
The independent directory of chemicals and chemical suppliers and producers.
BuyersGuideChem
BGC » Chemicals A-Z » Therafectin
pr

Therafectin

BGC Id:412449313335
CAS No:56824-20-5
Synonyms: sm-1213 ; amiprilose ; 1,2-o-isopropylidene-3-o-[3 -(n,n-dimethylamino)propyl]-a-d-glucofuranose ; 1,2-o-isopropylidene-3-o-[3'-(n,n-dimethylamino)-propyl]-alpha-d-glucofuranose hydrochloride ; 1,2-o-isopropylidene-3-o-[3'-(n,n-dimethylamino)propyl]-α-d-glucofuranose hydrochloride ; 3-o-[3-(dimethylamino)propyl]-1,2-o-(1-methylethylidene)-alpha-d-glucofuranose ; 3-o-[3-(dimethylamino)propyl]-1-o,2-o-isopropylidene-α-d-glucofuranose
Molecular Formula:C14H28ClNO6
Molecular Weight:341.83
EINECS:
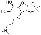
Structural Formula



supplier ww
registered suppliers of Therafectin worldwide

Identify

Synonyms:
sm-1213 ; amiprilose ; 1,2-o-isopropylidene-3-o-[3 -(n,n-dimethylamino)propyl]-a-d-glucofuranose ; 1,2-o-isopropylidene-3-o-[3'-(n,n-dimethylamino)-propyl]-alpha-d-glucofuranose hydrochloride ; 1,2-o-isopropylidene-3-o-[3'-(n,n-dimethylamino)propyl]-α-d-glucofuranose hydrochloride ; 3-o-[3-(dimethylamino)propyl]-1,2-o-(1-methylethylidene)-alpha-d-glucofuranose ; 3-o-[3-(dimethylamino)propyl]-1-o,2-o-isopropylidene-α-d-glucofuranose
CAS:
56824-20-5
EINECS:
Molecular Formula:
C14H28ClNO6
MDL:

Properties

Molecular Weight:
341.83 g·mol−1

Safety Information

Hazard Classes:
Risk Codes:
23/24/25-36/37/38 (R)
Safety Codes:
22-26-36-45 (S)
WGK Germany:
3
Storage temperature:
2-8°C

What other providers are available for CAS 56824-20-5?

In addition to the providers presented here for Therafectin with the CAS number 56824-20-5, there are other 11 providers with slightly different product names available for this CAS number.

Leap Chem Co., Ltd | Skyrun Industrial Co., Ltd. | BIOZOL Diagnostica Vertrieb GmbH | BuGuCh & Partners +6 additional providers that we know from the past
+1 additional providers that we know from the past




Chemical-Suppliers
© Copyright 1996 to 2025 by Netvertise GmbH. All rights reserved. Reproduction of any materials from the site is strictly forbidden without permission.