Chemical-Suppliers
The independent directory of chemicals and chemical suppliers and producers.
BuyersGuideChem
BGC » Chemicals A-Z » Mithramycin A
pr

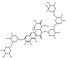
Mithramycin A

BGC Id:640215490432
CAS No:18378-89-7
Synonyms:pa144 ; mithracin ; aurlelicacid ; 2371 ; aurelicacid ; mithramycin ; plicamycin ; a-2371 ; nsc24559 ; mitramycin
Molecular Formula:C52H76O24
Molecular Weight:1085.15
EINECS:
Structural Formula

2025 - The most valued supplier

The following 6 notable providers have been checked and can be recommended.
Chemical-Suppliers
Leap Chem
Molecular Formula: C52H76O24 Molecular Weight: 1085.15 Hazard Symbols: Xn,T+ UN Number: 3249 WGKGermany: 3 PackingGroup: III HS Code: 29419090

The last intensive check and update was carried out on 2025/09/17.

Identify

Synonyms:
pa144 ; mithracin ; aurlelicacid ; 2371 ; aurelicacid ; mithramycin ; plicamycin ; a-2371 ; nsc24559 ; mitramycin
CAS:
18378-89-7
EINECS:
Molecular Formula:
C52H76O24
MDL:
MFCD00135618
SMILES:
B(C1=CC2=C(C=C1)OCCO2)(O)O

Properties

Molecular Weight:
1085.15 g·mol−1
Density:
1.49 g/cm3
Melting point:
180-183 °C
Boiling point:
1169.84° C at 760 mmHg
Solubility:
Soluble in phosphate buffered saline (1 mg/ml), ethanol, ethyl acetate, lower alcohols, and acetone. Insoluble in water.

Suppliers

Amadis Chemical Company Limited

Company type: Leading producer
Amadis Chemical is one of the leading enterprises in medical and health products research,development,manufacture and trading.rnEstablished in 2010, Amadis Chemical are adhering to the " Consummate service Convincing honor " Business strategy. We sell Fluticasone propionate intermediate as well. The topping products and service we providing to you base on our strong technical accumulation and outstanding professional quality.rnOur associated labs, leading by the outstanding chemistry or pharmacy professors ,make us keep ahead a ...
Country: P.R.China   Phone: +86-571-89925085   Telefax: +86-571-89925065

Finetech Industry Limited

Company type: Producer
Country: P.R.China
Phone: +86-27-8746 5837
Telefax: +86-27-8777 2287
Finetech Industry Limited is a company in England,which specializing in developing, manufacturing and marketing fine organic compounds and intermediates for the pharmaceutical industry. We provide Alfuzosin as well. Most of our products were exported to the North America, Europe and Oceania. Our factory is in China,we supply Fluorochemicals, Pyrimidines, Pyridines, Amines, Nitriles, Carboxylic Acids or Ester, Phenols or Alcohols, Aldehydes, Piperidines, Piperazines, Pyrazines, Boric Acids, Amino Acids, ...

Nantong Xindao Biotech Ltd

XINDAO is a world leading biochemical company formed by a professional team.The company specializes in the production, development and sales of animal health, crop science, nutrition and health care, skin care raw materials, fine chemicals and other products. At present, more than 300 kinds of products can be mass produced, which are widely used in chemical industry, health, agriculture, animal husbandry, biochemical research and other high-end fields. XINDAO pays attention ...
Company type: Leading producer
Country: P.R.China
Phone: +86 19033786557

Leap Chem Co., Ltd

Company type: Bulk and laboratory supplier
LEAPChem, a specialized fine chemicals supplier for research, development and production. LEAPChem provides nearly 50,000 rare and innovative chemical products to support the evolving needs of our customers in research & bulk manufacturing activities. As a highly customer-oriented enterprise, we are committed to providing high-quality customer services and products to our global customers in a cost-effective and efficient manner. Our client list includes many major pharmac ...
Country: P.R.China   Phone: +852-30606658  

BIOZOL Diagnostica Vertrieb GmbH

Company type: Supplier of chemical products
Country: Germany
Phone: +49-871-966346-0
Telefax: +49-871-966346-13
Chemos®, a subsidiary of BIOZOL Diagnostica Vertrieb GmbH, is a leading supplier of ready to use solutions for the lab and chemical industry. We are producing reagents and standards for the analytical lab and supplying raw materials for the chemical and pharmaceutical industry. We provide 1-(Decahydro-2,2,4a,7a-tetramethyl-1H-cyclobut[e]inden-5-yl)ethan-1-one as well. The base of our solutions are a portfolio of ~ 200.000 raw materials where ~ 50.000 are already available for R+D ready to order in our shop. We are supplying and producing lab quantities from tiny qua ...

BuGuCh & Partners

We, BuGuCh & Partners, are an international acting and innovative company, leading in developing and manufacturing. We operates major facilities in North America, Europe and the Pacific Rim, as well as facilities in China, Japan and Saudi Arabia operated through joint ventures. We maintain independently or are partners of some production sites in Europe, Asia and South America. Our global network is a strength. Our products range from natural gas, oil and basic chemi ...
Company type: Producer
Country: Germany

Safety Information

Hazard Classes:
6.1(b)
Hazardous Substances Data:
Non-Regulated Material ¹
Risk Codes:
22-26/27/28 (R)
Safety Codes:
45-38-36/37/39-28A-22 (S)
WGK Germany:
3
RID / ADR:
3249
RTECS:
PZ2800000
Storage temperature:
2-8°C

What other providers are available for CAS 18378-89-7?

In addition to the providers presented here for Mithramycin A with the CAS number 18378-89-7, there are other 15 providers with slightly different product names available for this CAS number.

+4 additional providers that we know from the past
+2 additional providers that we know from the past
+2 additional providers that we know from the past
+2 additional providers that we know from the past
+2 additional providers that we know from the past
+3 additional providers that we know from the past




Chemical-Suppliers
© Copyright 1996 to 2025 by Netvertise GmbH. All rights reserved. Reproduction of any materials from the site is strictly forbidden without permission.