Chemical-Suppliers
The independent directory of chemicals and chemical suppliers and producers.
BuyersGuideChem
BGC » Product Search » Magnesium dipyrone
pr
Supplier for

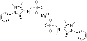
Magnesium dipyrone

Identification
CAS: 63372-86-1
Formula: C26H32MgN6O8S2
EINECS: 264-113-9
bd
Show all suppliers for the CAS No 63372-86-1
for the following products Magnesium [(1,5-dimethyl-3-oxo-2-phenyl-2,3-dihydro-1H-pyrazol-4-yl)-N-methylamino] methane sulfonate | Metamizole magnesium salt and Magnesium dipyrone
Structural Formula

1 registered suppliers


Chemical-Suppliers
Xiamen Equation Chemical Co.,Ltd
from P.R.China
Welcome to Equation chemical, your reliable partner in China as an important supplier of bulk specialty chemicals for industry & life science. We are committed to provide experienced high quality product and JIT performance to benefit our customers.










Chemical-Suppliers
© Copyright 1996 to 2026 by Netvertise GmbH. All rights reserved. Reproduction of any materials from the site is strictly forbidden without permission.